Tóm tắt
Trên cơ sở nghiên cứu và áp dụng thành công hệ dung dịch khoan KGAC, nhóm tác giả Liên doanh Việt - Nga “Vietsovpetro” đã nghiên cứu, chế tạo hệ dung dịch khoan mới KGAC-Plus nhằm nâng cao khả năng ức chế sét, đặc biệt là trong quá trình thi công các giếng khoan có góc nghiêng lớn, quỹđạovà điều kiện địa chất phức tạp. Kết quả thử nghiệmhệdungdịchkhoan KGAC-Plus cho 4 giếng khoan tại bể Cửu Long cho thấy khả năng ức chế sét tương đương hệ dung dịch khoan Ultradril của M-I SWACO (Mỹ); cải thiện được các yếu tố công nghệ - kỹ thuật (như: tính lưu biến, tính bôi trơn, độ ổn định, độ bền nhiệt…) giúp giảm thiểu sự cố trong quá trình thi công, nâng cao độ ổn định thành giếng khoan, bảo vệ tốt tầng sản phẩm và tiết kiệm chi phí (khoảng 300.000USD/giếng).
Từ khóa: KGAC-Plus, ức chế sét, tác nhân ức chế, bể Cửu Long.
1. Mở đầu
Trước năm 2015, khi thi công các giếng khoan phức tạp (khoan qua địa tầng sét hoạt tính cao, giếng khoan có góc nghiêng lớn, giếng cắt thân…), Liên doanh Việt - Nga “Vietsovpetro” thường phải sử dụng dịch vụ dung dịch khoan của các công ty bên ngoài (như M-I SWACO, SCOMI, DMC WS...) với chi phí cao (khoảng 25 triệu USD cho 24 giếng khoan trong năm 2014).
Đứng trước yêu cầu cấp thiết phải tiết giảm chi phí do giá dầu giảm, Vietsovpetro đã tập trung nghiên cứu nâng cao công nghệ dung dịch khoan, tiến tới tự triển khai thi công và cung cấp dịch vụ dung dịch khoan ra bên ngoài. Ban Dung dịch - Xí nghiệp Khoan và Sửa giếng đã nghiên cứu, thí nghiệm nâng cao chất lượng và tăng khả năng ức chế sét từ hệ dung dịch khoan KGAC, bằng việc kết hợp sử dụng thêm tác nhân ức chế bao bọc với hàm lượng và quy trình pha trộn thích hợp để tạo ra hệ dung dịch khoan KGAC-Plus có chất lượng tương đương hệ dung dịch khoan Ultradril.
Việc áp dụng hệ dung dịch mới này cho phép Vietsovpetro chủ động thực hiện thi công dung dịch khoan, kể cả các giếng khoan phức tạp, không phụ thuộc vào công ty dịch vụ bên ngoài.
2. Nghiên cứu, thí nghiệm hệ dung dịch khoan ức chế sét KGAC-Plus
Cơ chế của từng tác nhân ức chế trong hệ dung dịch khoan KGAC-Plus
Hệ dung dịch khoan KGAC-Plus có 5 tác nhân ức chế gồm: 2 tác nhân ức chế FCL và AKK của hệ dung dịch khoan truyền thống FCL/AKK, 2 tác nhân ức chế KCl và PAG trong hệ dung dịch khoan ức chế KCl/Polymer, bổ sung thêm chất ức chế bao bọc (như HyPR-CAP…) nhằm tăng khả năng ức chế sét.
- FCL (Ferro chrome lignosulfonate)/CFL (chrome free lignosulfonate) - chất ức chế phân ly: trên bề mặt cấu tử sét luôn có các cation H+ tạo liên kết hydro bền vững với các nhóm OH- trong phân tử lignosulfonate. Lớp hấp phụ này có kích thước phân tử lớn và có tính nhớt trên bề mặt cấu tử sét, nên lignosulfonate có khả năng ức chế trương nở, làm phân tán sét mùn khoan, giảm độ nhớt và độ bền gel.
- AKK - chất ức chế keo tụ: Đây là chất ức chế phèn nhôm kali, có công thức hóa học K2SO4Al2(SO4)3.24H2O. Khi tăng tính kiềm, các muối

nhôm sẽ chuyển thành các hydroxide kim loại tương ứng và hấp phụ rất mạnh lên bề mặt sét mùn khoan, làm ức chế sự phân tán của sét vào dung dịch.
Trong hệ dung dịch ức chế bằng muối nhôm này, các hydroxide nhôm hấp phụ lên bề mặt đá sét thành giếng khoan, gây ngăn cản các cấu tử sét chuyển dịch vào dung dịch, đồng thời khi sa lắng vào các khe nứt, hydroxide sẽ bít nhét các khe nứt, làm giảm hiện tượng ngậm nước của đá sét thành hệ và tăng độ bền chắc thành giếng khoan.
KCl - chất ức chế liên kết ion: Các ion K+ có kích thước nhỏ (2,66Angstrom) và năng lượng hydrate hóa thấp, do đó các cation K+ có thể xâm nhập rất sâu vào bên trong các cấu trúc ô mạng sét, tạo lực hút tĩnh điện trái dấu giữa các lớp sét làm giảm sự trương nở của sét.
- PAG (polyalkylene glycol) MC - chất ức chế tạo màng kỵ nước trên bề mặt và góc cạnh các cấu tử sét: Trong môi trường phân tán, ở nhiệt độ trung bình, PAG MC kết đám, tạo ra lớp màng kỵ nước bao quanh cấu tử sét.
- Chất ức chế bao bọc (như HyPR-CAP) là một polymer linh hoạt, có điện tích âm, nên sẽ hấp phụ lên các góc cạnh tích điện tích dương của phiến sét, bao bọc cấu tử sét mùn khoan và loại bỏ qua sàng rung, giảm lượng sét xâm nhiễm vào dung dịch. Chất này có phân tử lượng nhỏ hơn polymer acrylamide thủy phân từng phần (PHPA), làm giảm mức tăng độ nhớt cho dung dịch và giảm tổn thất qua sàng rung.
Sự tương hợp giữa 5 tác nhân ức chế trong hệ dung dịch khoan KGAC-Plus đã phát huy ưu điểm và khắc phục nhược điểm của các hệ dung dịch trước đó.
Thành phần của hệ dung dịch khoan KGAC-Plus
Thành phần của hệ dung dịch khoan KGAC-Plus được trình bày trong Bảng 1.
Với thành phần như Bảng 1, hệ dung dịch khoan KGAC-Plus có khả năng ức chế sét cao, bền nhiệt, hoạt động hiệu quả cả trong điều kiện hàm lượng pha rắn cao; giảm thiểu độc hại cho môi trường sinh thái do thay thế FCL bằng CFL. Hệ dung dịch khoan KGAC-Plus có giá thành thấp hơn so với các hệ dung dịch khoan của nước ngoài do sử dụng vật tư hóa phẩm sẵn có trên thị trường và không bị độc quyền. Trong đó, có nhiều thành phần được sản xuất tại Việt Nam (như AKK, chất bôi trơn, diệt khuẩn, barite, CaCO3, …); phù hợp với trang thiết bị hiện có tại các giàn khoan của Vietsovpetro.
Lựa chọn đơn pha chế hệ dung dịch khoan KGAC-Plus
Nhóm tác giả đã tiến hành nghiên cứu thí nghiệm với 5 đơn pha chế (ký hiệu là N1, N2, N3, N4, N5) nhằm chọn đơn pha tối




ưu nhất của hệ dung dịch khoan KGAC-Plus và so sánh với các hệ dung dịch khoan tiên tiến hiện nay (như Ultradril, Glydril, KGAC).
Các thí nghiệm nhằm lựa chọn ra đơn pha chế tối ưu nhất của hệ dung dịch khoan KGAC-Plus được tiến hành trên thiết bị công nghệ cao (Hình 6), đảm bảo thực hiện đúng quy trình nghiêm ngặt cho kết quả có độ chính xác cao.
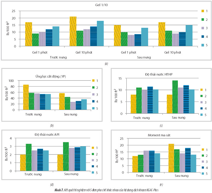
Kết quả thí nghiệm (Hình 7) cho thấy, các mẫu dung dịch khoan với đơn pha chế N1, N2, N3, N4 có ứng lực cắt tĩnh sau 1 phút và 10 phút (gel 1/10) thấp và ứng lực cắt động YP cao. Mẫu dung dịch với đơn pha chế N5 cho kết quả gel và YP tốt nhất, đạt yêu cầu kỹ thuật (Hình 7a và b). 5 đơn pha chế đều có độ thải nước API < 4 và độ thải nước đo ở điều kiện nhiệt độ cao, áp suất cao (HTHP) < 14, đạt yêu cầu kỹ thuật (Hình 7c và d); trong đó, mẫu N1 có kết quả tốt nhất. Moment ma sát của mẫu dung dịch với đơn

N5 (trước và sau nung) cho kết quả rất tốt so với yêu cầu kỹ thuật (< 20) (Hình 7e).
- Mẫu dung dịch có đơn pha chế N1: Hàm lượng HyPR-CAP 10g/l cho độ nhớt tăng cao, thông số lưu biến cao, moment ma sát sau nung không đạt yêu cầu.
- Mẫu dung dịch có các đơn pha chế N2, N3 và N4: Giảm hàm lượng HyPR-CAP lần lượt xuống 8g/l, 6g/l, 4g/l, xanthangum 3g/l và 2,5g/l độ nhớt vẫn cao, thông số lưu biến thấp.
- Mẫu dung dịch có đơn pha chế N5: Với hàm lượng HyPR-CAP 4g/l, xanthangum 3,5g/l, các thông số dung dịch đều đảm bảo yêu cầu kỹ thuật. Đơn này được chọn để pha chế dung dịch, so sánh với các hệ dung dịch tiên tiến khác (đặc biệt là hệ dung dịch khoan Ultradril), làm cơ sở để áp dụng thi công tại giếng khoan.
Đánh giá khả năng ức chế sét của hệ dung dịch khoan KGAC-Plus
Nhóm tác giả đã tiến hành so sánh khả năng ức chế sét của hệ dung dịch khoan KGAC-Plus với các hệ dung dịch khoan Ultradril, Glydril và KGAC.
Kết quả thí nghiệm cho thấy, hệ dung dịch khoan KGAC-Plus có các thông số dung dịch ổn định và bền nhiệt cao với độ thải nước API và độ thải nước đo ở nhiệt độ cao, áp suất cao (HTHP) tốt nhất so với các hệ dung dịch khoan còn lại (Hình 8a và b); khả năng bôi trơn được cải thiện so với hệ dung dịch khoan KGAC (Hình 8c); các thông số lưu biến sau nung tốt hơn so với hệ dung dịch khoan KGAC và tương đương hệ dung dịch khoan Ultradril (Hình 8d và e).
Các kết quả đo bằng máy Swell meter cho thấy khả năng ức chế sét của hệ dung dịch khoan KGAC-Plus tốt


hơn so với các hệ dung dịch khoan Glydril và KGAC và tương đương hệ dung dịch khoan Ultradril (Hình 9).
3. Kết quả áp dụng thử nghiệm hệ dung dịch khoan KGAC-Plus tại bể Cửu Long
Hệ dung dịch khoan KGAC-Plus đã được áp dụng thử nghiệm cho 4 giếng khoan: 11P-ThTC1, 12P-GTC1, 912- RC9, BH-48. Các giếng khoan này được chống ống đến sát đáy và không gặp sự cố.


Khả năng ức chế của hệ dung dịch khoan KGAC-Plus được thể hiện trong Hình 10.
Áp dụng thử nghiệm hệ dung dịch khoan KGAC-Plus tại 3 giếng khoan 11Р-ThTC1, 12Р-GTC1, 912-RC9
Chất lượng dung dịch khoan ổn định cả trong điều kiện nhiệt độ cao, thời gian thi công và lưu giữ dung dịch kéo dài. Các thông số tại các giếng khoan áp dụng hệ dung dịch khoan KGAC-Plus đạt yêu cầu kỹ thuật và trong khoảng giá trị thiết kế giếng khoan cho phép (Bảng 3 và Hình 11).
Hiệu quả kinh tế khi áp dụng hệ dung dịch khoan KGAC-Plus:
- Dự toán: Giá thành điều chế hệ dung dịch khoan KGAC-Plus khoảng 470USD/m3, thấp hơn nhiều so với giá thành điều chế dung dịch khoan Ultradril (khoảng 770USD/m3). Thi công 1 giếng khoan cho công đoạn áp dụng hệ dung dịch khoan ức chế sét cao, thông thường cần sử dụng khoảng 1.000m3 dung dịch. Do đó, áp dụng hệ dung dịch khoan KGAC-Plus có thể tiết kiệm được khoảng 300.000USD/giếng so với sử dụng hệ dung dịch khoan Ultradril, chưa kể đến tiết kiệm từ các yếu tố khác như mức độ pha loãng, độ bền nhiệt, độ dung nạp sét…
- Thực tế: Hiệu quả kinh tế khi áp dụng hệ dung dịch khoan KGAC-Plus cho các giếng khoan 11Р-ThTC1, 12Р-GTC1, 912-RC9 trong năm đầu tiên áp dụng khoảng 814.000USD được tính bằng cách so sánh trực tiếp với các giếng khoan có điều kiện thi công tương tự sử dụng hệ dung dịch khoan Ultradril hoặc Glydril của M-I Swaco.
Áp dụng thử nghiệm hệ dung dịch khoan KGAC-Plus tại giếng khoan BH-48
Nhóm tác giả tiến hành so sánh công tác thi công tại giếng BH-48 có quỹ đạo rất phức tạp, áp dụng hệ dung dịch khoan KGAC-Plus với giếng BH-47 có cùng điều kiện địa chất, cùng được khoan trên giàn Cửu Long và áp dụng hệ dung dịch khoan Ultradril. Cột địa tầng và quỹ đạo của 2 giếng khoan thể hiện trong Hình 12 và 13.
Quá trình thi công 2 giếng BH-47 và BH-48 được so sánh trong Bảng 4.
Thông số dung dịch tổng quát giếng BH-47 và BH-48 được trình bày trong Bảng 5.
Giếng BH-47 và BH-48 có điều kiện địa chất phức tạp. Tuy nhiên, giếng khoan BH-48 có quỹ đạo phức tạp hơn (về biến đổi góc phương vị theo độ sâu) và góc nghiêng lớn hơn so với giếng BH-47.




- Trong quá trình thi công, mặc dù có đoạn phải doa lại thân giếng do địa tầng phức tạp, song cả 2 giếng đều không xảy ra sự cố liên quan đến dung dịch khoan. Quá trình thả ống đến sát đáy không gặp sự cố.- Các thông số dung dịch đều đảm bảo theo thiết kế thi công.
Kết quả áp dụng thành công hệ dung dịch khoan KGAC-Plus tại 4 giếng khoan, đặc biệt là giếng BH-48, đã khẳng định hệ dung dịch KGAC-Plus có chất lượng tương đương hệ dung dịch khoan Ultradril và hoàn toàn áp dụng được trong thi công các giếng khoan có góc nghiêng lớn, quỹ đạo và điều kiện địa chất phức tạp.
4. Kết luận
Về kỹ thuật, hệ dung dịch khoan KGAC-Plus có khả năng ức chế sét cao hơn hệ dung dịch khoan KGAC và tương đương với hệ dung dịch khoan Ultradril - một trong những hệ dung dịch khoan ức chế sét gốc nước tốt nhất hiện nay. KGAC-Plus cải thiện được các yếu tố công nghệ
- kỹ thuật như: tính lưu biến, tính bôi trơn, độ ổn định, độ bền nhiệt… nâng cao khả năng làm sạch giếng khoan, giảm thiểu sự cố khi thi công; nâng cao độ ổn định thành giếng khoan, bảo vệ tốt tầng sản phẩm; phù hợp với các trang thiết bị hiện có tại các giàn khoan dầu khí.
Về hiệu quả kinh tế, áp dụng hệ dung dịch khoan KGAC-Plus có thể tiết kiệm được khoảng 300.000USD/ giếng, chưa kể đến tiết kiệm từ các yếu tố khác như: mức độ pha loãng, độ bền nhiệt, độ dung nạp sét, vật tư - hóa phẩm sẵn có trên thị trường nên giá cả cạnh tranh…
Về độ an toàn, hệ dung dịch khoan KGAC-Plus thay thế hóa phẩm FCL bằng CFL - một dẫn xuất không chứa chrome của lignosulfonate. Các thành phần khác của hệ KGAC và KGAC-Plus, đều tương đương hệ dung dịch khoan Glydril của M-I SWACO, đảm bảo an toàn cho con người và môi trường, được phép sử dụng trên toàn thế giới. Hệ dung dịch khoan KGAC-Plus đã được Trung tâm Nghiên cứu và Phát triển An toàn và Môi trường Dầu khí (CPSE) - Viện Dầu khí Việt Nam cấp giấy chứng nhận thuộc nhóm E - nhóm tốt nhất theo hệ thống phân loại độc tính hóa chất ngoài khơi OCNS, ít gây hại cho môi trường nước.
Nhóm tác giả đề xuất tiếp tục nghiên cứu, hoàn thiện, nâng cao chất lượng và áp dụng hệ dung dịch khoan KGAC-Plus tại các giếng khoan có điều kiện phức tạp nhằm tăng hiệu quả áp dụng thực tế và giảm thiểu sự cố liên quan đến dung dịch khoan trong quá trình thi công khoan và tiến tới cung cấp hệ dung dịch khoan mới này cho các đơn vị ngoài ngành.
Tài liệu tham khảo
1. Trung tâm Nghiên cứu và Phát triển An toàn và Môi trường Dầu khí (CPSE). Báo cáo đánh giá độc tính sinh thái của hệ dung dịch KGAC và KGAC-Plus. 2017.
2. Vietsovpetro. Báo cáo tổng hợp kết quả áp dụng hệ dung dịch KGAC, KGAC-Plus tại các giếng khoan của Vietsovpetro. 2014 - 2016.
3. Hoàng Hồng Lĩnh và nnk. Nghiên cứu thí nghiệm và đề xuất áp dụng hệ dung dịch KGAC-Plus cho những thành hệ sét hoạt tính mạnh. Giải thưởng Sáng tạo Khoa học Công nghệ Việt Nam (VIFOTEC). 2016.
4. Hoàng Hồng Lĩnh và nnk. Nghiên cứu, thí nghiệm và đề xuất áp dụng hệ dung dịch KGAC-Plus cho những thành hệ sét hoạt tính mạnh. Tuyển tập Báo cáo Hội nghị Khoa học kỷ niệm 35 năm thành lập Liên doanh Việt - Nga “Vietsovpetro” và 30 năm khai thác tấn dầu đầu tiên. 2016: trang 186 - 194.
5. Hoàng Hồng Lĩnh và nnk. Nghiên cứu và áp dụng thành công hệ dung dịch KGAC cho khoan những giếng khoan tại Liên doanh Việt - Nga “Vietsovpetro”. Tuyển tập Báo cáo Hội nghị Khoa học kỷ niệm 35 năm thành lập Liên doanh Việt - Nga “Vietsovpetro” và 30 năm khai thác tấn dầu đầu tiên. 2016: trang 177 - 185.
6. Phạm Viết Đại. Ultradril - High performance water- base mud. 2015.
7. Hoàng Hồng Lĩnh và nnk. Nghiên cứu áp dụng hệ dung dịch KGAC cho những giếng khoan dầu khí. Hội thi Sáng tạo Kỹ thuật Việt Nam lần thứ 13. 2014.
8. Ryen Caenn, H.C.H.Darley, George R.Gray. Composition and properties of drilling and completion fluids (6th edition). 2011.
9. Ngo Van Tu, Hoang Hong Linh, Nguyen Trong Nghiem. Experiences in using non-clay polymer drilling fluids for highly deviated drilling in Vietsovpetro. Conference on Vietnam Petroleum Institute 20 years development and prospects. 1998: p. 367 - 374.
10. Tạ Đình Vinh. Dung dịch khoan cho các giếng khoan ngang. Tạp chí Dầu khí. 1995; 3: trang 21 - 25.
11. M-I Swaco. Drilling fluids manual. 1995.
Research and test application of the new mud system KGAC-Plus at highly deviated wells with complex trajectory and geological conditions
Hoang Hong Linh, Nguyen Thanh Truong
Nguyen Xuan Quang, Bui Van Thom, Vu Van Hung
Vietsovpetro
Summary
Email: linhhh.rd@vietsov.com.vn
Based on the successful research and application of the KGACmud system, the authors from Vietsovpetro have continued researching and testing to improve the inhibition level of the KGAC mud system to form the KGAC-Plus mud system, especially in the construction of highly deviated wells with complex trajectory and geological conditions. Mud test results and the application results at 04 wells showed that the quality of KGAC-Plus has been clearly improved comparing with the KGAC mud system. The inhibition level of KGAC-Plus is equiv- alent to the ULTRADRIL mud system of MI SWACO, one of the best inhibitive water-based mud system nowadays.
Key words: KGAC-Plus, shale inhibition, inhibition agent, Cuu Long basin.