Tóm tắt
Kỹ thuật đo phân bố điện thế (Close interval potential survey - CIPS) được sử dụng để đánh giá hiệu quả của hệ thống bảo vệ cathode trên toàn bộ chiều dài của đường ống ngầm. Theo dõi sự chênh lệch điện thế (Direct current voltage gradient - DCVG) bằng cách đo sự chênh lệch điện áp tại mặt đất phía trên đường ống được bảo vệ cathode, là phương pháp chính xác nhất để xác định vị trí kích thước và khuyết tật lớp phủ trên đường ống ngầm mà không cần tiếp cận trực tiếp. Trong bài báo này, nhóm tác giả giới thiệu nguyên tắc kết hợp kỹ thuật đo phân bố điện thế với đo chênh lệch điện thế và kết quả ứng dụng kỹ thuật này để đánh giá hiệu quả của hệ thống bảo vệ cathode cho các đường ống ngầm.
1. Mở đầu
Phương pháp chống ăn mòn kim loại bằng sơn phủ kết hợp với bảo vệ cathode là một trong những biện pháp hữu hiệu nhất nhằm bảo vệ các công trình đường ống ngầm, đáy bồn bể chứa và các công trình biển… Trên lý thuyết khi hệ thống bảo vệ cathode được thiết kế hợp lý và hoạt động tốt, công trình đường ống ngầm sẽ được bảo vệ chống ăn mòn trong một thời gian dài. Tuy nhiên, dưới tác động của môi trường và điều kiện vận hành thực tế, hệ thống bảo vệ cathode có thể bị xuống cấp và xảy ra các sự cố không mong muốn như: bong tróc lớp sơn phủ, các đầu nối tiếp xúc điện kém, cáp điện đứt, anode hoặc chỉnh lưu có sự cố… Đây là nguyên nhân dẫn đến điện thế bảo vệ không đảm bảo, sự phân bố điện thế không đều, gây ra hiện tượng giải phóng hydro làm giòn kim loại và bong tróc lớp sơn phủ… Hậu quả là công trình không được bảo vệ như thiết kế, thậm chí xảy ra trường hợp điện thế tăng bất thường dẫn đến tốc độ ăn mòn kim loại có thể lớn hơn nhiều lần so với công trình không được bảo vệ cathode, có nguy cơ gây thủng đường ống, bể chứa….
Kỹ thuật đo phân bố điện thế và đo chênh lệch điện thế dọc theo chiều dài đường ống ngầm cho phép đánh giá khả năng bảo vệ của hệ thống bảo vệ cathode cũng như mức độ bong tróc lớp phủ của các công trình ngầm mà không cần tiếp cận trực tiếp. Trong bài báo này, nhóm tác giả giới thiệu nguyên tắc hoạt động của kỹ thuật đo phân bố điện thế, đo chênh lệch điện thế; kết quả ứng dụng kỹ thuật này để đánh giá hiện trạng thực tế của tuyến ống ngầm đang được bảo vệ chống ăn mòn bằng hệ thống cathode sử dụng dòng điện cưỡng bức.
2. Nguyên tắc bảo vệ chống ăn mòn cho các công trình đường ống ngầm sử dụng hệ thống bảo vệ cathode dùng dòng điện ngoài
Quá trình ăn mòn các công trình đường ống ngầm thường xảy ra theo cơ chế ăn mòn điện hóa. Do sự không đồng nhất của kim loại, lớp sơn phủ trên đường ống xuất hiện khuyết tật bong tróc, sự không đồng nhất của môi trường đất… dẫn đến sự chênh lệch điện thế trên bề mặt của đường ống ngầm, gây ra quá trình ăn mòn cục bộ.
Phần có điện thế âm hơn, đóng vai trò anode, bị ăn mòn và hòa tan. Phần có điện thế dương hơn, đóng vai trò cathode, không bị ăn mòn. Do đó, tạo thành các vùng ăn mòn cục bộ trên bề mặt đường ống, theo thời gian có thể làm thủng đường ống và gây ra các hậu quả khó lường.
Phương pháp chống ăn mòn kim loại sử dụng hệ thống bảo vệ cathode dùng dòng điện cưỡng bức hoạt động dựa trên nguyên tắc nối đường ống ngầm với cực âm của nguồn điện một chiều (chỉnh lưu/biến áp) và nối cực dương của nguồn điện với điện cực anode trơ (Hình 1).
Thông thường, điện cực anode trơ được chế tạo từ thép không gỉ phủ màng hỗn hợp oxide titan (Mix metal oxide - MMO) hoặc gang đúc (high silicon cast iron) bền ăn mòn trong môi trường khảo sát cho phép phát dòng hiệu quả. Với thiết kế hợp lý, điện thế/dòng điện cung cấp bởi chỉnh lưu thích hợp, đường ống ngầm đóng vai trò làm cathode, được bảo vệ và không bị ăn mòn. Các phản ứng có xảy ra trên điện cực anode và cathode như sau:
Tại anode trơ, phản ứng oxy hóa nước hoặc các tác nhân oxy hóa trong môi trường theo phương trình:
H2O => O2 + 4H+ + 4e (1)
Tại cathode (đường ống ngầm), thường xảy ra phản ứng khử oxy hòa tan theo phương trình:
O2 + 2H2O + 4e => 4OH - (2)
Tuy nhiên, khi điện thế cathode quá âm, có khả năng xảy ra phản ứng khử nước tạo các bọt khí H2 trên bề mặt kim loại dưới lớp sơn phủ (phương trình 3), có thể gây nguy cơ bong tróc lớp sơn phủ.
4H2O + 2e => H2 + 2OH - (3)
Theo tiêu chuẩn NACE 0176 để đảm bảo chống ăn mòn cho các công trình ngầm bằng thép, điện thế bảo vệ công trình phải âm hơn -850mV/ECS [1]. Tuy nhiên, để tránh hiện tượng bong tróc lớp sơn phủ, tiêu chuẩn ISO15589 quy định điện thế bảo vệ không được âm quá -1.200 mV/ECS [2].
 |
Hình 1: Sơ đồ nguyên tắc hệ thống bảo vệ cathode sử dụng dòng điện ngoài |
 |
Trong quá trình hoạt động, nhiều yếu tố thay đổi theo thời gian như độ dẫn điện của môi trường, sự xuống cấp của hệ thống bảo vệ cathode, ảnh hưởng do dòng điện rò giữa công trình được bảo vệ và các công trình phụ cận... dẫn đến điện thế bảo vệ không đảm bảo như thiết kế ban đầu. Do đó, cần thiết phải theo dõi điện thế bảo vệ công trình ngầm theo thời gian, nhằm kiểm tra hiệu quả hoạt động của hệ thống bảo vệ cathode, đảm bảo công trình ngầm được bảo vệ an toàn.
3. Kỹ thuật đo phân bố điện thế và đo chênh lệch điện thế dọc theo hệ thống đường ống ngầm
Phương pháp kết hợp đo phân bố điện thế và đo chênh lệch điện thế cho phép theo dõi điện thế bảo vệ và chênh lệch điện thế dọc theo hệ thống đường ống ngầm mà không cần tiếp cận trực tiếp. Về nguyên tắc, kỹ thuật đo phân bố điện thế và đo chênh lệch điện thế dựa trên nguyên tắc đo điện thế công trình ngầm.
3.1. Kỹ thuật đo điện thế bảo vệ [3]
Sử dụng đồng hồ vạn năng hoặc vôn-kế kiểm tra điện thế bảo vệ đường ống ngầm theo nguyên tắc đo hiệu điện thế giữa đường ống ngầm và điện cực so sánh sulfate đồng trong môi trường đất như sơ đồ mạch điện Hình 2.
Khi hệ thống bảo vệ cathode đang cấp dòng bảo vệ,giá trị điện thế đo được hiển thị trên vôn-kế (Vm) chính là giá trị hiệu điện thế VON:
Vm = VON = Vp+ IR (4)
Trong đó:
Vp: Điện thế phân cực của công trình ngầm (điện thế bảo vệ);
IR: Điện thế rơi.
Với:
I: Cường độ dòng điện trong hệ thống;
R: Tổng điện trở tiếp xúc và điện trở đất... của hệ thống.
Để xác định điện thế bảo vệ đường ống cần phải giảm điện thế rơi IR → 0, khi đó giá trị điện thế đo Vm → Vp. Trong thực tế, tại các trạm kiểm tra điện thế (Test post/Test station), có thể sử dụng 2 cách để giảm thiểu điện thế rơi IR:
- Điện cực so sánh được đặt ngay sát đường ống nhằm giảm thiểu tối đa điện trở đất (R → 0)
- Hoặc/và sử dụng mẫu thử (coupon) để có thể ngắt dòng điện tạm thời (I → 0), điện thế đo được ngay tại thời điểm ngắt dòng (Instant off potential) tương ứng với điện thế bảo vệ công trình ngầm.
3.2. Đo sự phân bố điện thế dọc theo hệ thống đường ống ngầm
Trên nguyên tắc đo điện thế bảo vệ, di chuyển điện cực so sánh trên mặt đất dọc theo hệ thống đường ống ngầm đã được xác định, lặp lại phép đo điện thế với khoảng cách định trước (Hình 3). Tập hợp các giá trị điện thế cho phép xác định được sự phân bố điện thế dọc theo hệ thống đường ống.
Đo phân bố điện thế được thực hiện trên thiết bị đo điện thế được kết nối đồng bộ với thiết bị ngắt dòng (interrupter) điều khiển qua hệ thống GPS toàn cầu cho phép đo điện thế EON và EOFF dọc theo đường ống ngầm.
Các kết quả đo điện thế cho phép xác định điện thế và hiệu quả của hệ thống bảo vệ cathode đối với hệ thống đường ống ngầm.
3.3. Phương pháp khảo sát sự chênh lệch điện thế bề mặt dọc theo đường ống
Xung quanh các vị trí màng sơn bị bong tróc, khuyết tật xuất hiện trường điện tích (Hình 5), đo sự chênh lệch điện thế giữa hai điện cực so sánh đặt vuông góc hoặc song song trên bề mặt đường ống cho phép xác định vị trí và diện tích lớp sơn bị bong tróc hoặc phá hủy.
- Trường hợp 1 (DCVG song song): Đo sự chênh lệch điện thế giữa hai điện cực so sánh được đặt trên mặt đất dọc theo chiều dài tuyến đường ống ngầm. Khi có hiện tượng bong tróc lớp phủ, sự chênh lệch điện thế có dạng như Hình 6.
- Trường hợp 2 (DCVG vuông góc): Đo sự chênh lệch điện thế giữa điện cực so sánh bên trái được đặt trên mặt đất phía trên đường ống ngầm và điện cực so sánh bên phải được đặt cách điện cực thứ nhất khoảng 1m, trên đường thẳng vuông góc với đường ống ngầm (Hình 7).
Khi có hiện tượng bong tróc lớp phủ, sự chênh lệch điện thế có dạng như Hình 8.
4. Khảo sát thực tế tuyến ống ngầm được bảo vệ cath- ode bằng phương pháp CIPS và DCVG
4.1. Điều kiện thực nghiệm
Tuyến ống khảo sát gồm 3 đoạn đường ống dẫn nước Pipe 01-SA, Pipe 02-SA và Pipe 03-SA được chôn sâu khoảng 3m, bên ngoài được bảo vệ bằng lớp phủ chống ăn mòn kết hợp với hệ thống bảo vệ cathode sử dụng dòng ngoài. Anode trơ được sử dụng là anode phủ oxide hỗn hợp kim loại titan (MMO), được mắc nối tiếp với nhau và phân bố dọc theo đường ống cho phép cung cấp dòng bảo vệ cho đường ống ngầm.
Sử dụng thiết bị xác định đường ống ngầm (RD8000 Radiodetection’s universal precision locator) tìm và đánh dấu vị trí của tuyến ống dưới mặt đất. Thiết bị ngắt dòng tự động (GPS - Synchronized Current Interrupters - M.C.Miller); thiết bị đo điện thế và lưu dữ liệu tự động (Gx Data-Logger - M.C.Miller) kết nối với các điện cực so sánh sulfate đồng cho phép đo phân bố điện thế bảo vệ và đo chênh lệch điện thế dọc theo đường ống.
4.2. Kết quả đo phân bố điện thế và đo chênh lệch điện thế
Đo điện thế bảo vệ đường ống Pipe 01-SA, Pipe 02-SA, Pipe 03-SA tại các trạm kiểm tra tương ứng TP1-SA, TP2- SA, TP3-SA cho các kết quả điện thế EON, EOFF và điện thế tật tự nhiên (điện thế ăn mòn) Ecorr của mẫu thép (Bảng 1).
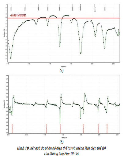
Kết quả đo điện thế cho thấy 3 đường ống khảo sát đều có giá trị điện thế bảo vệ âm hơn -850 mV/CSE, đáp ứng yêu cầu về điện thế bảo vệ. Tuy nhiên, giá trị đo điện thế thu được chỉ phản ánh hiệu quả bảo vệ chống ăn mòn của hệ thống bảo vệ cathode cho các vị trí đường ống gần trạm kiểm tra. Để khảo sát điện thế của toàn bộ tuyến ống phải đo phân bố điện thế và đo chênh lệch điện thế của 3 đường ống trên (Hình 9 - 11).
Kết quả khảo sát cho thấy dọc theo 3 đường ống khảo sát, điện thế phân bố không đồng nhất. Các vị trí gần anode có điện thế rất âm còn các vị trí ở xa anode có nhiều vị trí điện thế dương hơn -850mV, chưa đáp ứng được yêu cầu về điện thế bảo vệ. Đường ống Pipe 01-SA điện thế phân bố dọc theo đường ống đều âm hơn -850mV, trong khi đó các đường ống Pipe 02-SA và Pipe 03-SA vẫn có các vị trí điện thế dương hơn -850mV.
Các kết quả đo chênh lệch điện thế tương thích tốt với các kết quả đo phân bố điện thế. Dọc theo đường ống ngầm, các vị trí đường ống có điện thế quá âm thường xuất hiện gần anode, nơi tập trung dòng điện lớn. Khi điện thế quá âm, quá trình khử nước trong đất có thể xảy ra trên bề mặt đường ống, gây ra hiện tượng giải phóng hydro kéo theo hiện tượng bong tróc lớp phủ, tương ứng với gradient điện thế lớn. Mặt khác, nguyên tử hydro tạo ra có kích thước nhỏ, có khả năng đi vào mạng lưới tinh thể làm giòn kim loại và tạo ra các vết nứt ứng lực đối vớihoạt hóa của đường ống ngầm tăng lên, do đó phải cung cấp dòng điện cao hơn để có thể đáp ứng yêu cầu của hệ thống bảo vệ cathode. Trên cơ sở các kết quả đo chênh lệch điện thế có thể lựa chọn được vị trí lớp phủ có khả năng khuyết tật, bong tróc cao nhất để kiểm chứng thực tế. Hình 12 cho thấy lớp phủ có khuyết tật, bị bong tróc và hở kim loại nền. Kết quả thu được khẳng định độ chính xác của kỹ thuật đo phân bố điện thế và chênh lệch điện thế.
5. Kết luận
Sử dụng kết hợp phương pháp đo phân bố điện thế và chênh lệch điện thế giúp khảo sát và đánh giá nhanh, chính xác, hiệu quả tình trạng bảo vệ chống ăn mòn của hệ thống bảo vệ cathode đối với đường ống ngầm.
Kết quả khảo sát thực tế tại hiện trường cho thấy bên cạnh việc kiểm tra thường xuyên điện thế tại các trạm kiểm tra, cần kiểm tra định kỳ tổng thể điện thế dọc theo hệ thống đường ống ngầm để kịp thời phát hiện sự cố (nếu có), đảm bảo hệ thống bảo vệ cathode hoạt động hiệu quả, hệ thống đường ống ngầm vận hành an toàn.
Kỹ thuật đo phân bố điện thế và chênh lệch điện thế có khả năng áp dụng rộng rãi nhằm khảo sát và đánh giá hiệu quả hệ thống bảo vệ cathode chống ăn mòn cho các công trình dầu khí, đặc biệt đối với các công trình ngầm.
Tài liệu tham khảo
1. NACE RP0169-2002. Control of external corrosion on underground or submerged metallic piping systems.
2. ISO 15589-1-2003. Petroleum and natural gas industries - Cathodic protection of pipeline transportation systems - Part 1: On land pipelines. www.iso.org.
3. Ronald L.Bianchetti. Survey methods and evaluation techniques. Peabody’s Control of Pipeline Corrosion (2nd edition). National Association of Corrosion Engineers. 2001; p. 65 - 100.